Epitalon powder(Epithalon) corresponds to two CAS codes, one is CAS 307297-39-8 and the other is CAS 307297-39-8. It is a white solid powder. Epitalon Peptide is a synthetic anti-aging peptide produced by the amino acid chain alanine glutamate aspartate glycine. It can upregulate the activity of telomerase in the human body, helping to reduce the aging rate. Epithalamine is a synthetic peptide called an epithelial tissue vitamin. It was first discovered in bovine pineal extract as an artificial anti-aging drug widely used in various cosmetics. We have Epitalon for sale, but it is only for research purposes and not for human use.




Product Form



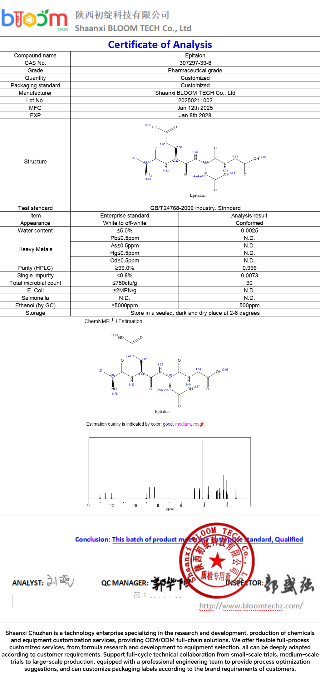
Epitalon COA


|
Chemical Formula |
C14H22N4O9 |
|
Exact Mass |
390 |
|
Molecular Weight |
390 |
|
m/z |
390 (100.0%), 391 (15.1%), 392 (1.8%), 391 (1.5%), 392 (1.1%) |
|
Elemental Analysis |
C, 43.08; H, 5.68; N, 14.35; O, 36.89 |
|
Customized Bottle Caps And Corks:
|
|

Telomeres are like safety helmets to protect DNA. Most chromosomes in the body have telomeres at both ends; The main function of telomerase is to help maintain the length of telomeres in the body.

Some diseases are related to too short telomeres, leading to faster aging; Epitalon powder can be used to treat diseases that lead to premature aging, such as Bloom syndrome and Werner syndrome. It also helps to reduce the risk of diseases related to telomerase deficiency, such as diabetes, because insulin secretion is inhibited due to telomerase deficiency.
The peptide may also have a positive impact on heart health and may help prevent heart disease; Scientists are studying its potential in treating tumors.
Epithalamin peptide is a human body enhancer, which is a polypeptide substance composed of four amino acids, including alanine (Ala), glutamic acid (Glu), asparagine (Asp) and lysine (Lys), with Various physiological effects.

Prolong life: Being shown to extend the lifespan of mice and have effects on their growth and development. Experiments have shown that after adding it to drinking water, the life span of mice can be as much as 18% longer than that of the control group. It can stimulate the secretion of the pituitary gland, increasing the release of hormones, thereby promoting gene expression and cell division. This may be the reason that is able to improve life extension. It can also enhance the immune system function and reduce the symptoms of physical aging and failure by optimizing the internal environment of the body.
Improve sleep quality: Improving sleep quality and reduce the occurrence of insomnia. It promotes the normal activity of the neuroendocrine regulation system and adjusts the sleep-wake rhythm by regulating the function of the biological clock, thereby promoting the improvement of sleep quality. At the same time, it can also reduce stress reactions such as mental tension and fatigue, promote physical relaxation, and make it easier for people to fall asleep.
Reduce Anxiety and Depression: Reducing the occurrence of anxiety and depression. It can affect the transmission of information between neurons in the brain, increasing the release of neurotransmitters, thereby regulating emotional responses. By regulating the function of the HPA axis, it can effectively reduce stress response and bad mood. Experimental studies have shown that the use can reduce symptoms of depression and anxiety with long-term effects.
Promote DNA repair: Stimulating DNA repair and cell regeneration, promote cell proliferation and division. It can start the normal operation of the cell cycle, improve cell metabolism and regeneration, thereby protecting the integrity of DNA. It is also able to increase brain cell number and connectivity, which plays a key role in conditions of brain injury and sequential degeneration.
Improves heart health: The impact on heart health is mainly reflected in the following aspects. First, it can reduce atherosclerosis and fat accumulation, lower blood pressure and cholesterol levels. Second, it can also enhance the function of the cardiovascular system by increasing the number and surface area of vascular endothelial cells, thereby promoting vascular dilation and blood flow. Finally, it has a protective effect on cardiomyocytes, which can reduce the probability of heart disease and improve the overall health of the heart.
Enhance immune function: Enhancing the function of the immune system, stimulate the activity and number of immune cells, improve the body's resistance to various pathogens. It activates the immune response through multiple pathways, including T lymphocytes, NK cells, macrophages, etc. At the same time, it also helps to regulate the autoimmune system and reduce the risk of autoimmune diseases.
Improve cognition and learning ability: Improving cognition and learning by stimulating neuronal reproduction and connectivity, thereby enhancing brain function. It can promote the process of learning, memory and decision-making. By regulating synaptic plasticity and neurogenesis and other mechanisms, it can enhance the plasticity of the nervous system, improve the speed of thinking response and memory storage capacity.

In vitro study
|
|
|
According to a study of human fibroblasts cultured in vitro, epithelin seems to induce telomere elongation by increasing telomerase activity.
In the cell culture of human fetal fibroblasts, the telomere extension through the epithelial method is enough to exceed the Hayflick limit, thus extending its proliferation potential from the 34th generation control cell group to the 44th generation treatment cell group, and increasing the telomere length to the same level as the cells in the original culture.
Epitalon powder induces the degradation of heterochromatin near the centromere in cultured lymphocytes from human samples aged 76 to 80 years.
Epithelial line seems to inhibit the synthesis of MMP9 protein in aged skin fibroblasts in vitro.
Living animal research
|
|
|
An in vivo study of aged rats found that both wild rats and rats with accelerated aging phenotype significantly reduced the frequency of chromosome aberration. This is consistent with increasing telomere length.
Another study on aged rats found that epithelial cells increased the activities of antioxidant enzymes superoxide dismutase, glutathione peroxidase and glutathione S-transferase.
In an experiment conducted in one-year-old female rats, the epitope protein reduced the number of spontaneous tumors and the number of spontaneous tumor metastasis in rats. It is speculated that the epitope protein has the characteristics of tumor inhibition and anti-metastasis.
In a study of chickens undergoing neonatal hypophysectomy and subsequent maturation, epithelial cells promoted the recovery of thymus morphology and thyroid structure and function.
Epithelin seems to increase the proliferation of lymphocytes in the thymus, which may increase Interferon produced by T cells.
Another study on elderly rats showed that under the typical long-term or natural light conditions in northern China, the life expectancy of rats increased.

Human clinical research
In human clinical studies, Epitalon powder and Epihalamine significantly increased the telomere length of blood cells in patients aged 60-65 and 75-80 years, with similar therapeutic effects.
Epithelin and Epithelin seem to restore the secretion of melatonin in the pineal gland of monkeys and ancient humans.
A clinical study on patients with retinitis pigmentosa found that epithelial growth in 90% of patients in the treatment group had positive clinical effects.
In another human clinical study for patients with pulmonary tuberculosis, epithelial cells did not seem to correct chromosome structural aberrations associated with telomere degradation. However, it seems to have a protective effect on other chromosome aberrations in the future.
A prospective human cohort study of 266 people over the age of 60 showed that in the next six years, the use of epihalamine (epibiotic extract on which the epitaph is based) can reduce the death rate by 1.6-1.8 times, the combined treatment with thymine can reduce the death rate by 2.5 times, and the combined treatment with thymus can reduce the death rate by 4.1 times, and the drug is administered annually instead of only once at the beginning of the study.
Another prospective cohort study of 79 patients with coronary artery disease found that, compared with the control group, the body resistance, circadian rhythm, carbohydrate and lipid metabolism indexes of the group were improved after treatment with epihalamine twice in three years, the cardiovascular mortality rate was reduced by 50%, the incidence of cardiovascular failure and severe respiratory disease was reduced by 50%, and the total mortality rate was decreased by 28%.
Scope of sales channels
Main sales regions
As a product for scientific research purposes, the sales scope of this substance may cover multiple countries and regions around the world. Specifically, some well-known chemical or biotechnology companies may sell it to major research institutions and pharmaceutical companies in China, the United States, Europe, and other regions. However, it should be noted that due to differences in laws and regulations in different countries and regions, the sales scope may be limited.
Distribution channel
Online sales: Many companies sell through official websites, e-commerce platforms, and other online channels. These platforms typically provide detailed product information, prices, purchasing methods, etc., making it convenient for customers to understand and make purchases.
Offline sales: In addition to online sales, some companies also sell their products to target customers through traditional sales channels such as agents, distributors, etc. These channels may involve a wider geographical area and a deeper customer base.
Sales restrictions
Legal and regulatory restrictions: Different countries and regions have different legal and regulatory restrictions on the import and use of drugs, chemicals, and other products. Therefore, its sales scope may be affected by these laws and regulations.
Usage restrictions: Due to its primary use for scientific research, its sales scope may be limited to specific customers such as research institutions and pharmaceutical companies. For individual consumers or buyers for non scientific purposes, sales may be restricted.
Precautions
Product quality: When purchasing, attention should be paid to the purity, quality certification, and other information of the product to ensure that high-quality products are purchased.
Legal compliance: When purchasing and using, local laws and regulations should be followed to ensure legality and compliance.
Professional guidance: As it is a product for scientific research purposes, it is recommended to consult with professional medical or research personnel before purchasing and using it to ensure correct and safe use.
Frequently Asked Questions
Does Epitalon actually work?
+
-
In human clinical studies, epitalon and epithalamin both significantly increased telomere lengths in the blood cells of patients of ages 60-65 and 75-80, and their efficacy was comparable to one another.
Does Epitalon improve skin?
+
-
Improves wound healing and tissue regeneration (skin, hair follicles, bones, stomach, intestinal linings, and liver). Increases collagen and glycosaminoglycans.
Does Epitalon make you tired?
+
-
The pineal gland works less well as we age, making it hard to sleep, causing hormonal changes, and making us tired. Epitalon has been shown to increase melatonin production, which may lead to better sleep, less worry, and better health in general.
Hot Tags: epitalon powder cas 307297-39-8, suppliers, manufacturers, factory, wholesale, buy, price, bulk, for sale, Cosmetic, dermorphin in humans, DERMORPHIN, Melanotan ii powder, dermorphin peptide








